Orifice Plate - Find Orifice Size

ISO 5167-2:2003 Orifice Size Calculator


Identification Data

Tagname
Site
Area
Notes

Fluid Data

Fluid
State of matter
Density
Kg/m3
Molecular Weight g
Operating Temperature
C
Operating Pressure (P1)
bar
Dynamic Viscosity
cP
Ratio of Sp.Heats N/A

Pipe Data

Pipe Diameter
mm
Mass Flow Kg/s
Pressure Tappings
Pressure Range
bar

Common Results

Pressure Ratio (P2/P1) N/A Pressure Drop Ratio (DP/P1) N/A
Reynolds (ReD) N/A Reynolds Flow Regime N/A
Beta Ratio N/A Discharge Coefficient N/A

Specific Results

Orifice Diameter

Limits of Use

1. Orifice Diameter (d) - The result has not yet been evaluated.
2. Pipe Diameter (D) minimum size - The result has not yet been evaluated.
3. Pipe Diameter (D) maximum size - The result has not yet been evaluated.
4. Beta Ratio (Beta) minimum size - The result has not yet been evaluated.
5. Beta Ratio (Beta) maximum size - The result has not yet been evaluated.
6. Reynolds Number (ReD) - The result has not yet been evaluated.
7. Pressure Ratio - The result has not yet been evaluated.
You must sign in before saving calculations.

How the Orifice Plate Find Size Calculator works?

  • Instrumentation and Control.net
  • Rating: 4.6419 - 1600 reviews
All of our calculators work in a similar way. First you will find a block of information called "Identification Data". In this block we ask you to indicate the Tag, the Plant where the instrument is located and the Area. You also have the possibility to add some notes. This information will be attached to the report if you wish to provide it. It is not necessary to perform the calculation.
The next block of information is called "Fluid Data". In this block we ask you to indicate the the name of your fluid, state of matter, and other properties of your fluid. If you select gas, density is calculated based on the Pressure, Molecular Weight and Temperature properties.
The last input block is called "Pipe Data". A set of cells defining pipe data in a restriction orifice calculation includes parameters such as pipe diameter, orifice diameter and flow properties, which are used to evaluate pressure drops, flow rates, and orifice sizing accurately.
Once everything is set you must click on Calculate! button. Then, all the resulting cells will be calculated. You can press this button until your results are inline with your expectations. Once everything is correct you can export your work to PDF document containing all your parameters and results. To be able to obtain this file you must click on Download button.
We hope you enjoy using this calculator.

Overview

This tutorial walks you through sizing a concentric, square-edged orifice plate using the Orifice Plate – Find Orifice Size calculator at instrumentationandcontrol.net, which implements ISO 5167-2:2003. By following it you will:

  • Enter process data correctly for both a liquid and a gas service.
  • Understand why the sizing calculation is iterative, what the beta ratio constraint means in practice, and — for gas — what the expansibility factor and pressure ratio check tell you.
  • Read and validate the Limits of Use section so you can defend the result to a review or pass it to procurement.

The calculator solves the sizing problem: given a target mass flow rate, a specified differential pressure, and known fluid and pipe properties, find the required orifice bore diameter d. This is the inverse of the more common flow problem and has no closed-form solution, which is why iteration is required.


Before You Begin

Gather the following data before opening the calculator. Having everything ready eliminates back-and-forth mid-session.

For a liquid service

Data item Notes
Fluid name For the datasheet only; does not affect the result
Density ρ At operating temperature and pressure, kg/m³ or any supported unit
Upstream absolute pressure P₁ Used for the pressure ratio check; does not affect C_d for liquids
Dynamic viscosity μ cP is accepted directly; look up your fluid at operating temperature
Pipe internal diameter D Schedule and nominal bore, not nominal pipe size
Target mass flow rate q_m The calculator accepts kg/s only — convert from kg/h before entry
Maximum allowable ΔP The upper end of the transmitter range; determines the orifice bore
Pressure tapping type Flange, Corner, or D–½D

For a gas service

All items above, except density, plus:

Data item Notes
Molecular weight MW g/mol — no unit conversion needed
Operating temperature T °C, °F, K, or °R
Ratio of specific heats κ Default 1.4 for diatomic gases; use your actual value

Gas density is not entered manually. When Gas is selected, the Density field becomes read-only. The calculator derives density automatically from P₁, T, and MW using the ideal gas law. Verify the computed value looks physically reasonable before clicking Calculate!


Understanding the Calculator Workflow

Three minutes spent here will save you from misreading a result.

The sizing problem

The ISO 5167-2 mass flow equation for an orifice plate is:

$$ q\_m = C\,\varepsilon\,\frac{\pi}{4}\,d^2\,\sqrt{\frac{2\rho\Delta P}{1-\beta^4}} $$

where C is the discharge coefficient (dimensionless), ε is the expansibility factor (1 for liquids), β = d/D is the beta ratio, and d is the bore you are trying to find. In the flow problem you know d and solve for q_m. In the sizing problem you know q_m and must find d — but C depends on β and the pipe Reynolds number Re_D, which also depends on flow conditions. There is no algebraic closed form: the equation must be solved iteratively.

Why the calculation is iterative

The calculator uses the following strategy on each button press:

  1. Initial estimate. Compute β₀ using a fixed representative discharge coefficient, ignoring the (1 − β⁴) correction term. This gives a first approximation in a single step.
  2. Discharge coefficient update. Evaluate the Reader-Harris/Gallagher equation (ISO 5167-2 Annex A) for the current β and Re_D to get a refined C.
  3. Expansibility update (gas only). Compute ε for the current β, P₁, ΔP, and κ.
  4. Beta update. Recalculate β from the full sizing formula using the updated C and ε.
  5. Repeat steps 2–4 up to ten times until successive β values have converged.

In practice, three or four passes are sufficient because C varies slowly with β for fully turbulent flow.

The beta ratio constraint

ISO 5167-2 requires 0.2 ≤ β ≤ 0.75 for the Reader-Harris/Gallagher correlation to be valid. This is an empirical limit: the correlation coefficients were fitted to laboratory data collected across that range. Outside it, the equation extrapolates, and measurement uncertainty increases substantially.

The practical implications are:

  • β < 0.2. A very small orifice relative to the pipe creates a high permanent pressure loss and amplifies the effect of bore imperfections or edge damage. The correlation is also extrapolating.
  • β > 0.75. The orifice is nearly as large as the pipe. The differential pressure signal is very small, which magnifies transmitter and installation errors, and the correlation extrapolates in the opposite direction.

The calculator's Limits of Use section flags a red warning for β < 0.10 and β > 0.75. Note that the β ≥ 0.10 threshold is the calculator's hard-coded lower limit; for compliance with ISO 5167 and to remain within the validated accuracy of the Cd correlation, you should treat β < 0.20 as a design concern even if the calculator shows green. If your result falls outside the 0.20–0.75 band, the most effective lever is to change the specified ΔP: a higher ΔP increases β, a lower ΔP decreases it.

Gas-specific considerations: expansibility factor and pressure ratio limit

Expansibility factor $\varepsilon$. For a compressible fluid, gas density decreases as the fluid accelerates through the orifice and its static pressure falls. The expansibility factor corrects for this:

$$ \varepsilon = 1 - (0.351 + 0.256\beta^4 + 0.93\beta^8)\left(\frac{\Delta P}{P\_1}\right)^{1/\kappa} $$

For liquids, ε = 1 exactly. For typical gas metering with ΔP/P₁ in the range 0.01–0.10, ε is approximately 0.97–0.99. Omitting this correction overestimates mass flow by 1–3%, which is comparable to the overall expanded uncertainty of the orifice plate itself.

Pressure ratio limit (Limit 7). The expansibility formula is derived under the assumption that the gas remains subsonic and that the pressure ratio stays above a minimum threshold. The calculator enforces P₂/P₁ ≥ 0.75 (equivalently, ΔP/P₁ ≤ 0.25). If the pressure ratio falls below 0.75, Limit 7 turns red and the calculation should not be used as-is.

Separately, if P₂/P₁ approaches the critical pressure ratio for your gas, the flow is choked (sonic at the vena contracta) and the ISO 5167 equation is fundamentally inapplicable. For air (κ = 1.4):

$$ r\_c = \left(\frac{2}{\kappa+1}\right)^{\kappa/(\kappa-1)} = \left(\frac{2}{2.4}\right)^{3.5} \approx 0.528 $$

In normal industrial metering, the ΔP is kept well below the critical value and Limit 7 will be the binding constraint you encounter first. If you see a red Limit 7, reduce the specified ΔP (or increase β by another means) before treating the result as valid.


The Calculator Interface at a Glance

The form is divided into three input sections followed by two output sections and a Limits of Use checklist.

Input sections

Section Key fields
Identification Data Tagname, Site, Area, Notes
Fluid Data Fluid name; State of matter (Liquid/Gas); Density (liquid, direct entry); Molecular Weight (gas); Temperature (gas); P₁; Dynamic Viscosity; Ratio of Sp. Heats κ
Pipe Data Pipe Diameter D; Mass Flow (kg/s); Pressure Tappings (Flange / Corner / Radius D–½D); Pressure Range ΔP

Unit conversion. Every numeric field has a unit-selector dropdown. The read-only field to its right shows the SI value that will be passed to the calculation. Always confirm that converted value before proceeding — entry errors in unit selection are among the most common sources of incorrect results.

Output sections

Section Fields
Common Results Pressure Ratio P₂/P₁; Pressure Drop Ratio ΔP/P₁; Reynolds Number Re_D; Flow Regime (Laminar / Transitional / Turbulent); Beta Ratio β; Discharge Coefficient C
Specific Results Orifice Diameter d (with a unit selector for mm, cm, m, in, ft)
Limits of Use Seven ISO 5167 compliance checks, colour-coded green/red, updated after every Calculate! press

Worked Example 1: Sizing for a Liquid Service (Water)

Scenario. Size a metering orifice plate to measure water at a target mass flow of 5 000 kg/h through a 4-inch schedule 40 pipe. The maximum allowable differential pressure is 100 mbar. Flange tappings are specified.

Parameter Value
Fluid Water
Density 998 kg/m³
Upstream absolute pressure P₁ 2 bar
Dynamic viscosity 1 cP
Pipe internal diameter D 101.6 mm (4" Sch 40)
Target mass flow 5 000 kg/h = 1.389 kg/s
Maximum ΔP 100 mbar
Pressure tappings Flange

Step 1 — Enter the identification data

Fill in the Identification Data fields at the top of the form:

  • Tagname: FE-101 (or your site convention)
  • Site: your plant or facility name
  • Area: the process unit (e.g., Utilities, Cooling Water)
  • Notes: any relevant context (optional)

These fields do not influence the calculation. They populate the downloadable ISA-style datasheet.

Step 2 — Configure the fluid data

  1. In the State of matter selector, choose Liquid. The Molecular Weight and Temperature fields disable automatically.
  2. Enter 998 in the Density field and confirm the unit selector reads kg/m³. The read-only converted field should display 998 Kg/m³.
  3. Enter 2 in Operating Pressure (P₁) and confirm the unit selector reads bar. The converted field should display 2 bar.
  4. Enter 1 in Dynamic Viscosity and confirm the unit selector reads cP. The converted field should display 1 cP.
  5. Leave Ratio of Sp. Heats at the default 1.4. It is not used in the liquid calculation.

Step 3 — Enter the pipe and flow data

  1. Enter 101.6 in Pipe Diameter with the unit selector set to mm. Confirm 101.6 mm in the converted field.

  2. Enter 1.389 in Mass Flow (kg/s).

    Unit conversion required. The Mass Flow field accepts kg/s only. Divide by 3 600: 5 000 ÷ 3 600 = 1.389 kg/s.

  3. Set Pressure Tappings to Flange.

  4. Enter 100 in the Pressure Range (ΔP) field with the unit selector set to mbar. Confirm the converted field shows 0.1 bar.

Step 4 — Run the calculation

Click the orange Calculate! button. The calculator computes an initial β₀ estimate, then iterates the Reader-Harris/Gallagher equation up to ten times. You will see the result fields populate immediately.

Step 5 — Interpret the results

Your screen should show values close to those in the table below. Minor differences are due to iteration depth and rounding.

Output Expected value What it means
Pressure Ratio (P₂/P₁) 0.950 (2 − 0.1) / 2 = 1.9 / 2
Pressure Drop Ratio (ΔP/P₁) 0.050 0.1 / 2
Reynolds Number Re_D ~17 400 Turbulent; well above the ISO 5167 minimum
Flow Regime Turbulent Re_D > 4 000
Beta Ratio β ~0.254 d/D; within the ISO 5167 valid range
Discharge Coefficient C ~0.600 RHG equation, converged
Orifice Diameter d ~25.8 mm The bore you will specify on the datasheet

The small beta ratio (~0.25) is a direct consequence of specifying a low ΔP of only 100 mbar at a modest flow rate: the orifice must be relatively small to produce any measurable differential signal at that flow. Beta is right at the lower edge of the ISO 5167 accuracy band (0.20).

Practical consideration. A low β means a high permanent pressure loss ratio. If energy cost is a concern, consider raising the specified ΔP (and selecting a higher-range transmitter) to bring β into the 0.40–0.60 range, which is the practical optimum for orifice plates in terms of signal-to-noise ratio and installation robustness. Re-run the calculator with ΔP = 500 mbar to see the effect.

Step 6 — Validate the Limits of Use

Scroll to the Limits of Use section. Each of the seven checks should be green:

# Limit Status for this example
1 Orifice diameter d ≥ 12.5 mm ✓ (~25.8 mm)
2 Pipe diameter D ≥ 50 mm ✓ (101.6 mm)
3 Pipe diameter D ≤ 5 000 mm
4 Beta ratio β ≥ 0.10 ✓ (~0.254) — note: ISO 5167 accuracy requires β ≥ 0.20
5 Beta ratio β ≤ 0.75
6 Reynolds number Re_D within range for Flange taps ✓ (~17 400 ≥ 5 000)
7 Pressure ratio (gas only — not evaluated for liquids)

All limits pass. The result is ISO 5167-2 compliant.

Download. Click the Download button below the results table to export the pre-filled ISA-style datasheet as a PDF. This file includes all inputs, results, and the Limits of Use status.


Worked Example 2: Sizing for a Gas Service (Air)

Scenario. Size a metering orifice plate to measure compressed air at a target mass flow of 800 kg/h through a 6-inch schedule 40 pipe. Upstream pressure is 5 bar absolute, maximum ΔP is 100 mbar, and flange tappings are specified.

Parameter Value
Fluid Air
Molecular weight MW 28.97 g/mol
Operating temperature T 20 °C
Upstream absolute pressure P₁ 5 bar
Dynamic viscosity 0.018 cP
Ratio of specific heats κ 1.4
Pipe internal diameter D 152.4 mm (6" Sch 40)
Target mass flow 800 kg/h = 0.222 kg/s
Maximum ΔP 100 mbar
Pressure tappings Flange

Step 1 — Enter the identification data

Fill in Tagname, Site, Area, and Notes as in Example 1.

Step 2 — Configure the fluid data (gas mode)

  1. In the State of matter selector, choose Gas. The Density field becomes read-only; Molecular Weight and Temperature become active.

  2. Enter 28.97 in Molecular Weight.

  3. Enter 20 in Operating Temperature with the unit selector set to C. Confirm 20 C in the converted field.

  4. Enter 5 in Operating Pressure (P₁) with the unit selector set to bar. Confirm 5 bar.

    The calculator immediately computes and displays the gas density using the ideal gas law:

$$\rho = \frac{P_1 \times MW}{R \times T} = \frac{5 \times 10^5\,\text{Pa} \times 0.02897\,\text{kg/mol}}{8.314\,\text{J/(mol\,K)} \times 293.15\,\text{K}} \approx 5.94\,\text{kg/m}^3$$

Verify that the read-only Density field shows approximately 5.94 Kg/m³. This is the value that will enter the sizing equation. For reference, air at standard conditions (~1.2 kg/m³) compressed to 5 bar gives ~5.9 kg/m³ — confirming the result is physically reasonable.

  1. Enter 0.018 in Dynamic Viscosity with the unit selector set to cP. Confirm 0.018 cP.
  2. Enter 1.4 in Ratio of Sp. Heats. This is correct for dry air and most diatomic gases.

Step 3 — Enter the pipe and flow data

  1. Enter 152.4 in Pipe Diameter with the unit selector set to mm. Confirm 152.4 mm.

  2. Enter 0.222 in Mass Flow (kg/s).

    800 kg/h ÷ 3 600 = 0.222 kg/s.

  3. Set Pressure Tappings to Flange.

  4. Enter 100 in Pressure Range (ΔP) with the unit selector set to mbar. Confirm 0.1 bar.

Step 4 — Run the calculation

Click Calculate!. The iterative loop now computes the expansibility factor ε at each pass in addition to the discharge coefficient C, because air is a compressible fluid.

Step 5 — Interpret the results

Output Expected value What it means
Pressure Ratio (P₂/P₁) 0.980 (5 − 0.1) / 5 = 4.9 / 5
Pressure Drop Ratio (ΔP/P₁) 0.020 0.1 / 5
Reynolds Number Re_D ~103 000 Fully turbulent; far above the minimum
Flow Regime Turbulent Re_D ≫ 4 000
Beta Ratio β ~0.245 Within the ISO 5167 valid range
Discharge Coefficient C ~0.598 RHG equation, converged
Orifice Diameter d ~37.3 mm The bore you will specify on the datasheet

The beta ratio (~0.245) is again close to the lower boundary of the ISO 5167 range, driven by the relatively modest ΔP of 100 mbar combined with the high line pressure (5 bar) — the gas is dense and the available driving pressure difference is small relative to the line pressure. If β below 0.2 were to occur, raising the specified ΔP would be the straightforward remedy.

Step 6 — Gas-specific outputs: expansibility factor and pressure ratio

Expansibility factor ε

With $\Delta P/P_1 = 0.02$ and $\beta \approx 0.245$, the ISO 5167-2 expansibility formula gives:

$$\varepsilon = 1 - \left(0.351 + 0.256\,\beta^4 + 0.93\,\beta^8\right) \left(\frac{\Delta P}{P_1}\right)^{\!1/\kappa}$$
$$\approx 1 - 0.352 \times (0.02)^{1/1.4} \approx 1 - 0.352 \times 0.0614 \approx 0.978$$

An ε of 0.978 means the effective gas density at the vena contracta is about 2.2% lower than at the upstream tapping due to expansion. If you were to use the liquid formula (ε = 1) for this gas service, you would overestimate mass flow by approximately 2.2% — a systematic error that is comparable to the typical expanded measurement uncertainty of an orifice plate. Always apply the expansibility correction for gas.

The calculator applies ε internally at each iteration; you do not need to enter it. Its effect is visible in the converged C value being slightly lower than you would expect for an equivalent liquid case.

Pressure ratio check (Limit 7)

The calculated P₂/P₁ = 0.980 must be compared against two thresholds:

Threshold Value This example Status
Calculator Limit 7: expansibility formula valid P₂/P₁ ≥ 0.75 0.980 ✓ Well above
Physical choked flow limit for air (κ = 1.4) P₂/P₁ ≥ r_c ≈ 0.528 0.980 ✓ Well above

The calculator's Limit 7 checks the first threshold (ΔP/P₁ ≤ 0.25), which ensures the expansibility formula itself remains valid and accurate. The choked flow limit (r_c ≈ 0.528 for air) is a harder physical boundary: at or below it the flow is sonic at the vena contracta, the ISO 5167 model breaks down entirely, and no correction factor recovers it. In this example both thresholds are satisfied with substantial margin.

When to watch for choked flow. A high-pressure gas at large ΔP — for example, a control valve bypass where the full upstream pressure appears across the orifice — can approach or exceed the critical pressure ratio. If your process can ever see P₂/P₁ ≤ 0.528 (for air), that operating scenario is outside the scope of the calculator entirely.

Step 7 — Validate the Limits of Use

# Limit Status for this example
1 Orifice diameter d ≥ 12.5 mm ✓ (~37.3 mm)
2 Pipe diameter D ≥ 50 mm ✓ (152.4 mm)
3 Pipe diameter D ≤ 5 000 mm
4 Beta ratio β ≥ 0.10 ✓ (~0.245) — note: ISO 5167 accuracy requires β ≥ 0.20
5 Beta ratio β ≤ 0.75
6 Reynolds number Re_D within range for Flange taps ✓ (~103 000 ≥ 5 000)
7 Pressure ratio P₂/P₁ ≥ 0.75 (gas service) ✓ (0.980)

All seven limits pass. The result is ISO 5167-2 compliant for a gas service.


Worked Example 3: Sizing for a Steam Service (Saturated Steam)

Scenario. Size a metering orifice plate to measure saturated steam on a 4-inch Sch 40 utility header. The target mass flow is 2 000 kg/h and the maximum allowable differential pressure is 200 mbar. Flange tappings are specified.

Parameter Value
Fluid Steam (Water Vapor)
State of matter Steam
Steam quality (x) 1.0 (dry saturated)
Operating temperature T 180 °C
Upstream absolute pressure P₁ 10 bar
Steam density ρ (auto-filled) ~5.16 kg/m³
Dynamic viscosity μ 0.0145 cP
Ratio of specific heats κ 1.13
Pipe internal diameter D 101.6 mm (4" Sch 40)
Target mass flow 2 000 kg/h = 0.556 kg/s
Maximum ΔP 200 mbar
Pressure tappings Flange

How the calculator obtains steam density. When Steam (Water Vapor) is selected, the Density field becomes read-only. The calculator calls the server-side IAPWS-IF97 steam property lookup using the temperature you enter and the steam quality x, computing the homogeneous mixture density automatically. For dry saturated steam (x = 1) at 180 °C, the returned density is approximately 5.16 kg/m³. Verify the populated density field before pressing Calculate!

Step 1 — Enter identification data

Fill in Tagname, Site, Area, and Notes as in the previous examples (for example, FE-301, Utilities, HP Steam Header).

Step 2 — Configure the fluid data

  1. In State of matter, choose Steam (Water Vapor). A Steam Quality (x) field appears.
  2. Enter 1.0 in Steam Quality (x) (dry saturated steam; 0 = saturated liquid, 1 = dry saturated).
  3. Enter 180 in Operating Temperature and confirm the unit selector reads °C.
  4. Enter 10 in Operating Pressure (P₁) with the unit selector set to bar. Confirm 10 bar in the converted field. The calculator fetches IAPWS-IF97 properties and populates the read-only Density field with approximately 5.16 Kg/m³.
  5. Enter 0.0145 in Dynamic Viscosity and set the unit selector to cP.
  6. Enter 1.13 in Ratio of Sp. Heats. This is the isentropic exponent for saturated steam and governs the expansibility factor and critical pressure ratio.

Step 3 — Enter the pipe and flow data

  1. Enter 101.6 in Pipe Diameter with the unit selector set to mm.
  2. Enter 0.556 in Mass Flow (kg/s). (2 000 ÷ 3 600 = 0.556 kg/s.)
  3. Set Pressure Tappings to Flange.
  4. Enter 200 in Pressure Range (ΔP) and set the unit selector to mbar. Confirm 0.2 bar in the converted field.

Step 4 — Run the calculation

Click Calculate! The calculator iterates the Reader-Harris/Gallagher equation with the expansibility factor for steam (κ = 1.13) until β converges.

Step 5 — Interpret the results

Output Expected value What it means
Pressure Ratio (P₂/P₁) 0.980 (10 − 0.2) / 10
Pressure Drop Ratio (ΔP/P₁) 0.020 0.2 / 10
Reynolds Number Re_D ~480 000 Fully turbulent; well above the ISO 5167 minimum
Flow Regime Turbulent Re_D ≫ 4 000
Beta Ratio β ~0.498 d/D; within the ISO 5167 valid range 0.2–0.75
Discharge Coefficient C ~0.601 RHG equation, converged
Orifice Diameter d ~50.6 mm Bore to specify on the datasheet

The β ≈ 0.50 is ideal for orifice plate metering — it provides a strong differential signal while keeping permanent pressure loss moderate, and it sits in the most accurately characterised region of the ISO 5167 correlation.

Expansibility factor. With ΔP/P₁ = 0.020 and κ = 1.13, the ISO 5167-2 expansibility formula gives ε ≈ 0.988. This means the steam expands by about 1.2% as it accelerates through the orifice. If you applied the liquid formula (ε = 1), you would overestimate mass flow by ~1.2%. The calculator applies ε internally at each iteration.

Critical pressure ratio for steam. For steam with $\kappa = 1.13$: $r_c = \left(\frac{2}{\kappa+1}\right)^{\kappa/(\kappa-1)} = \left(\frac{2}{2.13}\right)^{8.69} \approx 0.578$. With $P_2/P_1 = 0.980$, the flow is far from choked. Limit 7 ($P_2/P_1 \geq 0.75$) passes comfortably.

Step 6 — Validate the Limits of Use

# Limit Status for this example
1 Orifice diameter d ≥ 12.5 mm ✓ (~50.6 mm)
2 Pipe diameter D ≥ 50 mm ✓ (101.6 mm)
3 Pipe diameter D ≤ 5 000 mm
4 Beta ratio β ≥ 0.10 ✓ (~0.498)
5 Beta ratio β ≤ 0.75
6 Reynolds number Re_D within range for Flange taps ✓ (~480 000 ≥ 5 000)
7 Pressure ratio P₂/P₁ ≥ 0.75 (steam service) ✓ (0.980)

All limits pass. The result is ISO 5167-2 compliant for a steam service.

Steam quality considerations. If the steam is wet (x < 1.0), the HEM density will be higher than the dry-saturated value, producing a smaller required bore for the same flow and ΔP. For x = 0.95 at 180 °C, the HEM density rises to approximately 15 kg/m³ and the calculated bore would decrease to around 35 mm. Always verify the steam quality value with your process engineer before proceeding to procurement.

Round down to a drillable bore. As with any service, round the calculated bore down to the nearest available drill size (0.5 mm increments is typical). Verify the resulting ΔP at the rounded bore using the companion Orifice Plate – Find Pressure Drop calculator. For steam service, a small increase in ΔP is generally acceptable within the transmitter range.


After You Finish

A valid result from this calculator is a theoretical bore diameter. Before it reaches a purchase order or a fabrication drawing, three further steps are normally required.

Round the bore to a realisable drill size

The calculator delivers the exact bore needed to satisfy the specified flow and ΔP simultaneously. In practice, workshop tolerances mean bores are drilled to the nearest 0.5 mm (or 1/64 in). Always round down to keep the bore smaller than the theoretical value: a slightly undersized bore increases ΔP at the target flow, which keeps the signal within the transmitter range and errs conservatively on measurement sensitivity.

After rounding, verify the resulting flow rate and ΔP at the rounded bore by running the companion Orifice Plate – Find Flow calculator. Confirm that the differential pressure at maximum flow stays within your transmitter's calibrated range.

Check installation straight-run requirements

ISO 5167-2 specifies minimum upstream and downstream straight pipe lengths as a function of β and the fitting immediately upstream (single bend, double bend out-of-plane, reducer, valve, etc.). These requirements can be substantial at higher beta ratios. Refer to the Orifice Plate Installation Guidelines for the applicable straight-length tables before committing to a pipe layout.

Verify at minimum flow

If turndown matters to your application, repeat the calculation at the minimum expected mass flow with the same ΔP. Check that:

  • Re_D remains above the ISO 5167 minimum (≥ 5 000 for flange taps).
  • The differential pressure at minimum flow is still within the transmitter's calibrated range (and above its minimum readable signal).

An orifice plate sized only at the maximum flow point can fall outside the valid Re_D range at low loads, producing uncorrectable measurement error.

Information and Definitions

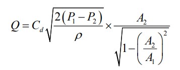
Used Equation

Formula

Dimensional Analysis

Formula

Beta Ratio The ratio of the orifice diameter to the pipe diameter, affecting flow restriction and pressure drop. It is essential in flow measurement, with specific ratios optimizing accuracy for different flow ranges.

Common Results Refers to standard calculations and outputs in fluid mechanics, such as flow rate, pressure drop, and velocity, essential for analyzing system performance and determining if the design meets operational requirements.

Contraction Coefficient A factor representing the reduction in cross-sectional area in a flow contraction, influencing flow speed and pressure. It is used in flow calculations involving orifices and sudden changes in pipe diameter.

Critical P Ratio The critical pressure ratio is the ratio of downstream to upstream pressure at which gas flow becomes choked, meaning maximum flow rate is reached. It is essential in designing nozzles and controlling flow in compressible fluid systems.

Density Density is the mass per unit volume of a fluid, typically measured in kg/m3. It impacts fluid behavior, such as buoyancy and pressure. High-density fluids exert greater pressure in systems, influencing design parameters in piping and fluid transport applications.

Dynamic Viscosity Dynamic viscosity is a measure of a fluid's resistance to shear or flow, measured in Pascal-seconds (Pa s) or centipoise (cP). It affects how easily a fluid flows through pipes and around objects, influencing energy requirements in pumping systems.

Fluid Data Refers to essential information about a fluid, including properties like density, viscosity, and specific heat. This data is crucial for calculating flow rates, pressure drops, and heat transfer in systems. Fluid data helps engineers understand fluid behavior under different conditions, which aids in designing efficient systems in industries like oil, gas, and water treatment.

Limits of Use Defines the operational boundaries, like maximum pressure or temperature, for a system. Staying within these limits ensures safe, efficient operation and protects equipment from damage or failure.

Mass Flow (Kg/h) The amount of fluid mass passing through a point per hour. It is critical for measuring fluid transport, affecting system sizing, energy requirements, and overall efficiency in industrial processes.

Mass Flow (Kg/s) Mass flow in kg/s indicates fluid mass per second, important for real-time flow control and energy calculations in fast-moving fluid systems, especially in high-demand applications like power generation.

Molecular Weight Molecular weight is the mass of a molecule of a substance, measured in atomic mass units (amu). In fluid mechanics, it helps calculate the density of gases and affects the fluid's compressibility and flow characteristics, particularly for gases in dynamic systems.

Operating Pressure The pressure at which a system operates, influencing fluid density and flow rate. Higher pressures increase fluid density in gases, affecting flow calculations and system integrity. Operating pressure is crucial for safety, efficiency, and equipment durability in fluid systems.

Operating Temperature The temperature at which a fluid operates within a system, influencing its viscosity, density, and flow behavior. Higher temperatures generally decrease fluid viscosity, affecting the resistance to flow, and can also impact material compatibility and safety limits.

Orifice Diameter The diameter of an orifice or opening in a pipe, often used in flow measurement. It restricts flow, creating a pressure difference used to calculate flow rate, with smaller diameters increasing pressure drop and reducing flow.

Pipe Data Refers to the dimensions, materials, and specifications of piping systems, affecting fluid dynamics, resistance, and capacity. Pipe data is essential for designing efficient fluid transport systems and calculating parameters like flow rate and pressure drop.

Pipe Diameter Pipe diameter is the internal width of a pipe, influencing flow rate, velocity, and pressure drop. Larger diameters reduce friction and resistance, improving flow efficiency but requiring more space and higher installation costs.

Pressure Drop Pressure drop is the reduction in fluid pressure as it flows through a system, caused by friction, restrictions, or changes in elevation. It is a key factor in energy loss and pump selection in fluid systems.

Pressure Drop Ratio The ratio of pressure drop across an element to the inlet pressure. It helps assess energy losses and efficiency in a system, with high ratios indicating significant pressure loss and potential flow restrictions.

Pressure Ratio The ratio of outlet pressure to inlet pressure, used to describe pressure changes across systems. It is crucial in analyzing compressible flows, particularly in gas systems, to determine flow characteristics and efficiency.

Ratio of Sp.Heats The ratio of specific heats, or heat capacity ratio (kappa), is the ratio of a fluid's specific heat at constant pressure to its specific heat at constant volume. It affects compressible flow and is critical in calculations involving gases and thermodynamics.

Reynolds Flow Regime The classification of flow as laminar, transitional, or turbulent based on the Reynolds number. It affects flow behavior, pressure drop, and efficiency, guiding the design and operation of fluid systems.

Reynolds Number A dimensionless number indicating whether a fluid flow is laminar or turbulent, calculated from fluid velocity, density, viscosity, and characteristic length. It helps predict flow patterns and friction losses in pipes and channels.

Specific Results Refers to calculated values unique to a system's conditions, such as specific flow rates or pressure conditions, essential for verifying that the system operates within desired parameters for performance and safety.

State of Matter Defines the physical state of a substance: solid, liquid, or gas, determined by temperature and pressure. In fluid mechanics, the state of matter affects fluid flow, density, and viscosity. Gases are compressible, liquids nearly incompressible, and each state behaves uniquely under dynamic conditions.

Steam Quality (x) Steam quality (also called dryness fraction) defines the proportion of vapor in a liquid-vapor mixture, on a mass basis. A value of $0$ represents fully saturated liquid; a value of $1$ represents dry saturated steam. For wet steam ($0 < x < 1$), the calculator uses the Homogeneous Equilibrium Model (HEM) to determine the effective mixture density:

$$\rho\_{mix} = \frac{1}{x/\rho\_g + (1-x)/\rho\_f}$$

where $\rho_g$ and $\rho_f$ are the saturated vapor and liquid densities at the operating temperature, derived from IAPWS-IF97 steam tables. Example: at 150 °C, $\rho_g \approx 2.55\,\text{kg/m}^3$ and $\rho_f \approx 917\,\text{kg/m}^3$ — for $x = 0.9$ (10 % moisture content), $\rho_{mix} \approx 2.83\,\text{kg/m}^3$, noticeably denser than dry steam, which directly affects the calculated orifice size. Steam leaving a boiler or passing through a throttling valve is rarely perfectly dry; typical quality values in industrial practice range from 0.90 to 0.98.

Velocity in Pipe The speed of fluid movement through a pipe, influenced by pipe diameter and flow rate. It affects pressure drop, energy losses, and is crucial for sizing pipes to avoid excessive turbulence or friction.

Volumetric Flow The volume of fluid passing through a point per unit time, often in m3/h. It is used in pump sizing, system efficiency calculations, and to ensure fluid supply meets demand in various processes.

Orifice Plate Find Size Calculator References

1 International Organization of Standards (ISO 5167-1). 2003. Measurement of fluid flow by means of pressure differential devices inserted in circular cross-section conduits running full - Part 1: General principles and requirements.

2 International Organization of Standards (ISO 5167-2) 2003. Measurement of fluid flow by means of pressure differential devices inserted in circular cross-section conduits running full -- Part 2: Orifice plates.

3 American Society of Mechanical Engineers (ASME). 2001. Measurement of fluid flow using small bore precision orifice meters. ASME MFC-14M-2001.

4 U.S. Dept. of the Interior, Bureau of Reclamation, 2001 revised, 1997 third edition, Water Measurement Manual.

5 Michael Reader-Harris (2015) Orifice Plates and Venturi Tubes.

6 Miller, R. W., Flow Measurement Handbook, 3rd ed., McGraw-Hill, New York, 1996.

7 American Gas Association, AGA Gas Measurement Manual, American Gas Association, New York.

8 Wikipedia

9 Corrosionpedia

10 Orifice Plates and Venturi Tubes (2015) - Michael Reader-Harris

11 EMERSON Fundamentals of Orifice Meter Measurement

12 Search Data Center

Another calculators or articles that may interest you ...

1 In Flow Rate Calculator you can calculate the volumetric flow rate of any liquid or gas through a specific pipe diameter and download results.

2 Pressure Measurement, a comprehensive guide to pressure measurement principles and techniques.

3 Orifice Plate Calculator-Find Orifice Size is an useful tool to calculate the size of an orifice plate.

4 Density of Common Liquids Table, an easy reference table for liquid density data.

5 Absolute Viscosity of Common Gases, is a table that represents the absolute viscosity of some common fluids and his evolution against the temperature.

6 This is a table of specific heats' ratio for common gases: Heat Capacity Ratio of Common Fluids

7 Molecular Weight Common Fluids Table, an easy reference table for molecular weight data.

Frequently Asked Questions

Q1 How does an orifice plate size affect flow measurement?

A1 The size of an orifice plate directly affects the differential pressure created across it, which is used to determine the flow rate. A larger orifice allows more fluid to pass with lower velocity, while a smaller orifice increases velocity and differential pressure. The orifice size must be carefully selected based on flow conditions, fluid properties, and the desired measurement accuracy to ensure reliable results. Incorrect sizing can lead to excessive pressure drop, increased energy consumption, or inaccurate readings.

Q2 How is an orifice plate size determined for a given application?

A2 The orifice plate size is determined using flow equations that consider factors such as fluid type, flow rate, pressure, temperature, and pipe diameter. Engineers use standards like ISO 5167 or ASME guidelines to calculate the correct diameter. The beta ratio, which is the ratio of the orifice diameter to the pipe diameter, is also considered to maintain accuracy. Software tools or flow calculators help streamline these calculations by incorporating empirical data and industry standards.

Q3 How is Reynolds number considered when sizing an orifice plate?

A3 Reynolds number is crucial in determining the flow regime, whether it is laminar, transitional, or turbulent. Orifice plates are typically designed for turbulent flow to ensure stable differential pressure readings. If the Reynolds number is too low, flow conditions may not produce a reliable pressure drop, leading to inaccurate flow measurements. Engineers verify that the selected orifice size maintains a Reynolds number within an acceptable range to achieve consistent performance.

Q4 How does fluid viscosity influence the orifice plate size?

A4 Fluid viscosity affects flow behavior through the orifice plate by influencing the Reynolds number and pressure drop. Highly viscous fluids tend to create lower velocity and pressure differences, requiring larger orifice sizes to achieve measurable flow rates. If viscosity is not properly considered, the resulting measurement may be inaccurate, especially in low-flow conditions. Engineers incorporate viscosity into sizing calculations to ensure the selected orifice plate functions correctly across expected operating conditions.

Q5 How does pipe diameter impact orifice plate sizing?

A5 The pipe diameter plays a critical role in orifice plate sizing because the orifice-to-pipe diameter ratio, known as the beta ratio, affects the differential pressure and accuracy. A larger pipe diameter generally requires a proportionally larger orifice to maintain the correct flow conditions. If the orifice is too small relative to the pipe, it may cause excessive pressure drop, while an overly large orifice may reduce sensitivity. Industry standards provide guidelines to balance these factors for optimal performance.

Q6 How is pressure drop related to orifice plate size?

A6 The orifice plate creates a restriction that causes a pressure drop proportional to the flow rate. A smaller orifice increases velocity and pressure drop, which enhances measurement sensitivity but may lead to higher energy losses. Conversely, a larger orifice reduces the pressure drop but may decrease measurement precision. Engineers balance orifice size with acceptable pressure loss to maintain accuracy while minimizing operational costs.

Q7 How do flow conditions influence orifice plate selection?

A7 Flow conditions such as velocity, pressure, temperature, and turbulence level determine the optimal orifice plate size. High-velocity flows may require smaller orifice sizes to generate measurable pressure differences, while low-velocity flows might need larger orifices. Temperature variations can cause expansion or contraction of materials, affecting measurement accuracy. Proper assessment of these factors ensures reliable flow metering under varying conditions.

Q8 How do industry standards influence orifice plate sizing?

A8 Industry standards, such as ISO 5167 and ASME MFC-3M, provide guidelines for orifice plate sizing to ensure consistent and accurate flow measurement. These standards define parameters such as beta ratio limits, pressure tap locations, and calculation methods based on empirical data. Following these standards helps engineers design orifice plates that meet accuracy and repeatability requirements for various applications, reducing measurement errors and ensuring compatibility with industry practices.

Q9 How do flow rate variations affect orifice plate sizing?

A9 If flow rate varies significantly, the orifice plate size must be chosen to accommodate the full range while maintaining accurate measurement. A fixed orifice may work well for steady flows but might cause inaccuracies in systems with fluctuating flow rates. In such cases, multi-hole or variable orifice plates can be used to adapt to changing conditions. Engineers analyze flow rate variations to determine an orifice size that minimizes error across the expected operating range.

Q10 How does temperature impact orifice plate size calculations?

A10 Temperature changes can affect both the fluid properties and the orifice plate dimensions. Thermal expansion of the orifice plate material can slightly alter the orifice diameter, while temperature variations in the fluid can change its density and viscosity. These factors influence flow behavior and pressure drop. Engineers incorporate temperature effects into calculations to ensure the selected orifice size provides accurate measurements across different operating conditions.