Restriction Orifice Calculator - Find Flow Rate

Flow Restriction Orifice Calculation


Identification Data

Tagname
Site
Area
Notes

Fluid Data

Fluid
State of matter
Density
Kg/m3
Molecular Weight g
Operating Temperature
C
Operating Pressure (P1)
bar
Pressure Downstream (P2)
bar
Dynamic Viscosity
cP
Ratio of Sp.Heats N/A

Pipe Data

Pipe Diameter
mm
Orifice Diameter
mm

Common Results

Pressure Drop Pressure Drop Ratio (DP/P1) N/A
Pressure Ratio (P2/P1) N/A Critical Pressure Ratio N/A
Reynolds (ReD) N/A Reynolds Flow Regime N/A
Contraction coefficient N/A Expansibility Factor N/A
Beta Ratio N/A Velocity in Pipe

Specific Results

Mass Flow Mass Flow
Volumetric Flow Noise Level dB

Limits of Use

Choked Flow - The result has not yet been evaluated.
Velocity in Pipe - The result has not yet been evaluated.
Noise Level - The result has not yet been evaluated.
You must sign in before saving calculations.

How the Restriction Orifice Find Flow Calculator works?

  • Instrumentation and Control.net
  • Rating: 4.6375 - 927 reviews
All of our calculators work in a similar way. First you will find a block of information called "Identification Data". In this block we ask you to indicate the Tag, the Plant where the instrument is located and the Area. You also have the possibility to add some notes. This information will be attached to the report if you wish to provide it. It is not necessary to perform the calculation.
The next block of information is called "Fluid Data". In this block we ask you to indicate the the name of your fluid, state of matter, and other properties of your fluid. If you select gas, density is calculated based on the Pressure, Molecular Weight and Temperature properties.
The last input block is called "Pipe Data". A set of cells defining pipe data in a restriction orifice calculation includes parameters such as pipe diameter, orifice diameter and flow properties, which are used to evaluate pressure drops, flow rates, and orifice sizing accurately.
Once everything is set you must click on Calculate! button. Then, all the resulting cells will be calculated. You can press this button until your results are inline with your expectations. Once everything is correct you can export your work to an ISA S20 format spreadsheet containing all your parameters and results. To be able to obtain this file you must click on Download button.
We hope you enjoy using this calculator.

Restriction Orifice — Find Flow Rate: Tutorial


Overview

This tutorial walks through two complete calculations using the Restriction Orifice — Find Flow Rate calculator. You will calculate the flow through an existing restriction orifice — once for a liquid (water) and once for a compressible gas (air), including a choked flow condition.

The calculator solves the inverse sizing problem: the orifice geometry is fixed and the upstream/downstream pressures are known; the output is flow rate. The governing equation for the base case is:

$$q = C\_d\,A\,\sqrt{\frac{2\Delta P}{\rho}}$$

For compressible flow, the expansibility factor $\varepsilon$ is applied:

$$q = C\_d\,\varepsilon\,A\,\sqrt{\frac{2\Delta P}{\rho\_1}}$$

where $\rho_1$ is the upstream density and $\varepsilon \leq 1$ corrects for gas expansion across the orifice.

Scope: This tutorial covers the Find Flow calculator only. If you need to size an orifice for a target flow, use the Restriction Orifice — Find Orifice Size calculator instead.


What You Will Do

  1. Enter identification data, fluid properties, and pipe/orifice geometry for a liquid case and run the calculation.
  2. Interpret the liquid results: pressure drop, Reynolds number, mass flow, and volumetric flow.
  3. Repeat the same geometry with a gas at conditions that produce choked flow.
  4. Interpret the gas-specific outputs: beta ratio, expansibility factor, critical pressure ratio, and the choked flow indicator.
  5. Export results to an ISA S20 spreadsheet or save the calculation to your account.

Calculator Layout

The page is organised into three sections — Identification Data, Fluid Data, and Pipe Data — followed by a Results panel.

Identification Data

These fields populate the downloadable ISA S20 report header. None affect the numerical result.

Field Purpose
Tagname Instrument or RO tag
Plant Plant or unit name
Area Area or loop identifier
Notes Free-text; appears in the report

Fluid Data

Field Liquid mode Gas mode
Fluid Name Free text Free text
State of Matter Liquid Gas
Density (ρ) Enter directly Computed — field disabled
Molecular Weight Disabled Enter (g/mol)
Temperature Disabled Enter (°C)
Pressure Upstream (P1) Enter Enter
Pressure Downstream (P2) Enter Enter
Dynamic Viscosity Enter (cP or Pa·s) Enter (cP or Pa·s)

State switching: When you select Gas, the Density field disables and Molecular Weight + Temperature enable. The calculator derives gas density via the ideal gas law: $\rho = PM/(RT)$. Switching back to Liquid restores the Density field.

Pipe Data

Field Description
Pipe Diameter D Internal pipe diameter (mm or in)
Orifice Diameter d Orifice bore diameter (mm or in)

The beta ratio $\beta = d/D$ is computed internally and displayed in gas results.


Example 1 — Liquid: Water

Scenario

A 4-inch line has a restriction orifice with a 10.943 mm bore. Upstream pressure is 14 bar(a), downstream 12 bar(a). Confirm the flow rate at these conditions.

Fluid Data

Set State of Matter to Liquid first.

Field Value Unit
Fluid Name Water
State of Matter Liquid
Density 998 kg/m³
Pressure Upstream (P1) 14 bar
Pressure Downstream (P2) 12 bar
Dynamic Viscosity 1 cP

Use consistent pressure references for $P_1$ and $P_2$ — the calculator uses $\Delta P = P_1 - P_2$, so the absolute/gauge offset cancels as long as both share the same reference.

Pipe Data

Field Value Unit
Pipe Diameter D 101.6 mm
Orifice Diameter d 10.943 mm

This gives $\beta = 10.943/101.6 \approx 0.1077$.

Reading the Results

Common Results

Result Value
Pressure Drop 2.00 bar
Reynolds Number (ReD) Turbulent range
Reynolds Flow Regime Turbulent
Velocity in Pipe Low (< 1 m/s)

Specific Results

Result Approximate Value
Mass Flow ~0.1 kg/s
Mass Flow ~360 kg/h
Volumetric Flow ~0.36 m³/h

Choked flow for liquids: No choked flow check is applied. Liquid choking (cavitation onset) is a separate phenomenon. If cavitation is a concern, verify that P2 is well above the fluid vapour pressure at operating temperature.

Unit switching: After the calculation runs you can change the result unit selector (e.g. bar → psi, kg/s → lb/h) without re-running — the calculator applies a client-side conversion from the stored base value.


Example 2 — Gas: Air at Choked Conditions

Scenario

Same orifice and pipe geometry, now carrying air. Upstream 14 bar(a), downstream 7 bar(a). The pressure ratio $P_2/P_1 = 0.500$ is below the critical pressure ratio for air (~0.528), so choked flow is expected.

Fluid Data

Set State of Matter to Gas.

Field Value Unit
Fluid Name Air
State of Matter Gas
Molecular Weight 28.97 g/mol
Temperature 25 °C
Pressure Upstream (P1) 14 bar
Pressure Downstream (P2) 7 bar
Dynamic Viscosity 0.018 cP

The calculator derives upstream density:

$$\rho = \frac{1{,}400{,}000 \times 0.02897}{8.314 \times 298.15} \approx 16.37\,\text{kg/m}^3$$

Pipe Data

Same as Example 1: D = 101.6 mm, d = 10.943 mm.

Reading the Results

Specific Results — Gas

Result Value Notes
Beta Ratio (β) 0.1077 d / D
Contraction Coefficient < 1 Vena contracta area ratio
Expansibility Factor (ε) < 1 Compressibility correction
Critical Pressure Ratio ~0.528 For air, $\gamma = 1.4$
Pressure Drop Ratio ($x$) 0.50 $\Delta P / P_1 = 7 / 14$
Choked Flow Yes $P_2/P_1 < r_c$
Mass Flow (choke-limited) Capped at sonic condition
Volumetric Flow (at P1, T) Based on upstream density

How Choked Flow Detection Works

The critical pressure ratio for an ideal gas:

$$r\_c = \left(\frac{2}{\gamma + 1}\right)^{\gamma/(\gamma - 1)}$$

For air ($\gamma = 1.4$):

$$r\_c = \left(\frac{2}{2.4}\right)^{1.4/0.4} = (0.8333)^{3.5} \approx 0.528$$
  • $P_2/P_1 \geq r_c$ -> Not choked. Flow proportional to $\sqrt{\Delta P}$.
  • $P_2/P_1 < r_c$ -> Choked. Velocity at the vena contracta is sonic. Further reduction of $P_2$ does not increase mass flow.

Practical consequence: If the calculator returns Choked Flow = Yes, the displayed mass flow is the maximum achievable at those upstream conditions. To increase throughput you must raise $P_1$ or enlarge the orifice bore.

$\gamma$ dependency: The critical pressure ratio depends on $\gamma = C_p/C_v$. The calculator uses $\gamma \approx 1.4$ (diatomic gases). For other gases, verify against the Heat Capacity Ratio of Common Fluids table.


How the Expansibility Factor Works

The expansibility factor $\varepsilon$ corrects for the reduction in gas density as it accelerates and expands from $P_1$ to $P_2$. A common approximation for sharp-edged orifices:

$$\varepsilon = 1 - (0.41 + 0.35\beta^4)\frac{x}{\gamma}$$

where $x = \Delta P/P_1$.

  • $\varepsilon = 1$ for incompressible fluids (liquids).
  • $\varepsilon < 1$ for gases; decreases as $x$ increases.
  • At choked conditions the calculator caps flow at the sonic mass flux — ε is not extrapolated beyond its valid range.

For small pressure drops ($x < 0.1$) the correction is minor. At $x = 0.5$ as in Example 2, ignoring $\varepsilon$ would significantly overestimate the flow. The calculator applies it automatically.


Liquid vs. Gas: Key Differences

Aspect Liquid Gas
Density input Direct entry Computed via ideal gas law
Expansibility factor 1.0 (not displayed) Computed and displayed
Choked flow check Not applicable Evaluated against r_c automatically
Beta ratio displayed No Yes
Compressibility (Z) Not accounted for Ideal gas (Z = 1)
Volumetric flow basis Process conditions Upstream conditions ($P_1$, $T$)

High-pressure gases: The ideal gas law (Z = 1) is adequate for moderate pressures. For gases with significant non-ideal behaviour at high pressure, obtain the actual density from a real-gas equation of state and enter it manually by switching to Liquid mode.


Exporting and Saving Results

  • Download: Exports inputs and results as an ISA S20-format spreadsheet. Available to all users.
  • Save Calculation: Registered users can store the full calculation set to their account via My Calculations, allowing later retrieval and modification.

Example 3 — Steam: Saturated Steam through an Existing Restriction Orifice

Scenario. A 14.7 mm bore restriction orifice is installed in a 3-inch (77.9 mm ID) steam line. Upstream pressure is 10 bar abs, downstream 8 bar abs. Calculate the steam mass flow.

Parameter Value
Fluid Steam (Water Vapor), x = 1.0 (dry saturated)
Operating temperature T 180 °C
Upstream pressure $P_1$ 10 bar abs
Downstream pressure $P_2$ 8 bar abs
Steam density $\rho$ (auto-filled) ~5.16 kg/m³
Dynamic viscosity $\mu$ 0.0145 cP
Ratio of specific heats $\kappa$ 1.13
Pipe internal diameter D 77.9 mm
Orifice bore d 14.7 mm

Setting Up the Steam Case

  1. Set State of matter to Steam (Water Vapor) and enter Steam Quality x = 1.0.
  2. Enter $T = 180\,^\circ\text{C}$ and $P_1 = 10\,\text{bar}$. The density field auto-fills with ~5.16 kg/m³ from the IAPWS-IF97 lookup.
  3. Enter $P_2 = 8\,\text{bar}$, $\mu = 0.0145\,\text{cP}$, and $\kappa = 1.13$.
  4. Enter D = 77.9 mm and d = 14.7 mm.
  5. Click Calculate!

Expected Results

Result Expected value
Beta Ratio β 0.189 (14.7 / 77.9)
Pressure Drop $\Delta P$ 2.0 bar
Expansibility Factor Y ~0.927
Choked Flow No ($P_2/P_1 = 0.80 > r_c \approx 0.578$)
Mass Flow ~500 kg/h (0.139 kg/s)
Volumetric Flow (at $P_1$ conditions) ~97 m³/h

Critical pressure ratio check for steam. For $\kappa = 1.13$: $r_c \approx 0.578$. The actual ratio $P_2/P_1 = 0.80$ is safely above $r_c$, so the flow is sub-critical. If $P_2$ were to drop below $5.78\,\text{bar}$ ($P_1 \times r_c = 10 \times 0.578$), the flow would become choked — the mass flow would lock at its sonic maximum and no further downstream pressure reduction would increase it.

Expansibility correction is significant at $\Delta P/P_1 = 0.20$. The factor $Y \approx 0.927$ represents a 7.3% reduction from the incompressible flow prediction. For steam at large pressure drops this correction is not negligible: omitting it would overestimate mass flow by ~7.9%. The calculator applies $Y$ automatically.

Wet steam sensitivity. At $x = 0.95$ (5% moisture), the HEM density at 180 °C rises to approximately $15\,\text{kg/m}^3$. Running the same geometry with this density returns ~280 kg/h — roughly 44% less than the dry-steam result. Steam quality therefore has a large effect on the calculated flow; always verify with process data.


Related Tools

Information and Definitions

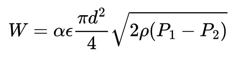
Used Equation

Restriction Orifice Flow Formula

Dimensional Analysis

Dimensional Analysis

Beta Ratio The ratio of the orifice diameter to the pipe diameter, affecting flow restriction and pressure drop. It is essential in flow measurement, with specific ratios optimizing accuracy for different flow ranges.

Choked Flow Choked flow occurs when a gas flow reaches maximum velocity due to critical pressure conditions, limiting further flow increase. It is vital in gas transport systems to avoid system inefficiencies and ensure safe operation.

Common Results Refers to standard calculations and outputs in fluid mechanics, such as flow rate, pressure drop, and velocity, essential for analyzing system performance and determining if the design meets operational requirements.

Contraction Coefficient A factor representing the reduction in cross-sectional area in a flow contraction, influencing flow speed and pressure. It is used in flow calculations involving orifices and sudden changes in pipe diameter.

Critical Pressure Ratio The critical pressure ratio is the ratio of downstream to upstream pressure at which gas flow becomes choked, meaning maximum flow rate is reached. It is essential in designing nozzles and controlling flow in compressible fluid systems.

Density Density is the mass per unit volume of a fluid, typically measured in kg/m3. It impacts fluid behavior, such as buoyancy and pressure. High-density fluids exert greater pressure in systems, influencing design parameters in piping and fluid transport applications.

Dynamic Viscosity Dynamic viscosity is a measure of a fluid's resistance to shear or flow, measured in Pascal-seconds (Pa·s) or centipoise (cP). It affects how easily a fluid flows through pipes and around objects, influencing energy requirements in pumping systems.

Expansibility Factor A correction factor for compressible fluids, accounting for gas expansion in flow through orifices or nozzles. It affects accurate flow measurements and is particularly important in high-pressure gas systems.

Fluid Data Refers to essential information about a fluid, including properties like density, viscosity, and specific heat. This data is crucial for calculating flow rates, pressure drops, and heat transfer in systems.

Limits of Use Defines the operational boundaries, like maximum pressure or temperature, for a system. Staying within these limits ensures safe, efficient operation and protects equipment from damage or failure.

Mass Flow (kg/h) The amount of fluid mass passing through a point per hour. It is critical for measuring fluid transport, affecting system sizing, energy requirements, and overall efficiency in industrial processes.

Mass Flow (kg/s) Mass flow in kg/s indicates fluid mass per second, important for real-time flow control and energy calculations in fast-moving fluid systems, especially in high-demand applications like power generation.

Molecular Weight Molecular weight is the mass of a molecule of a substance, measured in atomic mass units (amu). In fluid mechanics, it helps calculate the density of gases and affects the fluid's compressibility and flow characteristics.

Operating Pressure The pressure at which a system operates, influencing fluid density and flow rate. Higher pressures increase fluid density in gases, affecting flow calculations and system integrity. Operating pressure is crucial for safety, efficiency, and equipment durability in fluid systems.

Operating Temperature The temperature at which a fluid operates within a system, influencing its viscosity, density, and flow behavior. Higher temperatures generally decrease fluid viscosity, affecting the resistance to flow.

Orifice Diameter The diameter of an orifice or opening in a pipe, often used for flow restriction or measurement. It restricts flow, creating a pressure difference used to calculate flow rate, with smaller diameters increasing pressure drop and reducing flow.

Pipe Data Refers to the dimensions, materials, and specifications of piping systems, affecting fluid dynamics, resistance, and capacity. Pipe data is essential for designing efficient fluid transport systems and calculating parameters like flow rate and pressure drop.

Pipe Diameter Inside diameter of the pipe. All process calculations are based on the volume of the pipe which is a function of its internal diameter. Larger diameters reduce friction and resistance, improving flow efficiency.

Pressure Downstream Fluid pressure after passing through the restriction orifice. It impacts flow rate and is essential for calculating pressure drops, energy losses, and flow efficiency within the piping system.

Pressure Drop Pressure drop is the reduction in fluid pressure as it flows through a system, caused by friction, restrictions, or changes in elevation. Across a restriction orifice it is the driving force for the flow and is determined by the difference between upstream and downstream pressures.

Pressure Drop Ratio The ratio of pressure drop across an element to the inlet pressure. It helps assess energy losses and efficiency in a system, with high ratios indicating significant pressure loss and potential flow restrictions.

Pressure Ratio The ratio of outlet pressure to inlet pressure, used to describe pressure changes across systems. It is crucial in analyzing compressible flows, particularly in gas systems, to determine flow characteristics and efficiency. For gases, it determines whether flow is choked.

Ratio of Specific Heats The ratio of specific heats ($\gamma$ or $\kappa$) is the ratio of a fluid's specific heat at constant pressure to its specific heat at constant volume ($C_p/C_v$). It affects compressible flow and is critical in calculations involving gases and thermodynamics.

Reynolds Flow Regime The classification of flow as laminar, transitional, or turbulent based on the Reynolds number. It affects flow behavior, pressure drop, and efficiency, guiding the design and operation of fluid systems.

Reynolds Number A dimensionless number indicating whether a fluid flow is laminar or turbulent, calculated from fluid velocity, density, viscosity, and characteristic length. It helps predict flow patterns and friction losses in pipes and channels.

Specific Results Refers to calculated values unique to a system's conditions, such as specific flow rates or pressure conditions, essential for verifying that the system operates within desired parameters for performance and safety.

State of Matter Defines the physical state of a substance: solid, liquid, or gas, determined by temperature and pressure. In fluid mechanics, the state of matter affects fluid flow, density, and viscosity. Gases are compressible; liquids are nearly incompressible.

Steam Quality (x) Steam quality (also called dryness fraction) defines the proportion of vapor in a liquid-vapor mixture, on a mass basis. A value of $0$ represents fully saturated liquid; a value of $1$ represents dry saturated steam. For wet steam ($0 < x < 1$), the calculator uses the Homogeneous Equilibrium Model (HEM) to determine the effective mixture density:

$$\rho\_{mix} = \frac{1}{x/\rho\_g + (1-x)/\rho\_f}$$

where $\rho_g$ and $\rho_f$ are the saturated vapor and liquid densities at the operating temperature, derived from IAPWS-IF97 steam tables. Example: at 150 °C, $\rho_g \approx 2.55\,\text{kg/m}^3$ and $\rho_f \approx 917\,\text{kg/m}^3$ — for $x = 0.9$ (10 % moisture content), $\rho_{mix} \approx 2.83\,\text{kg/m}^3$, noticeably denser than dry steam, which directly affects the calculated flow rate. Steam leaving a boiler or passing through a throttling valve is rarely perfectly dry; typical quality values in industrial practice range from 0.90 to 0.98.

Velocity in Pipe The speed of fluid movement through the pipe, influenced by pipe diameter and flow rate. It affects pressure drop, energy losses, and is crucial for sizing pipes to avoid excessive turbulence or friction.

Volumetric Flow The volume of fluid passing through a point per unit time, often in m3/h. It is used in pump sizing, system efficiency calculations, and to ensure fluid supply meets demand in various processes.

Noise Level (Acoustic Power Level) The calculator estimates the acoustic power level ($L_W$) generated by the restriction orifice, expressed in decibels (dB). This output helps engineers identify potentially noisy installations at the sizing stage.

The calculation follows a simplified engineering model based on the mechanical power dissipated across the orifice:

Step 1 — Mechanical power dissipated:

$$W\_{mech} = \frac{q\_m\,\Delta P\,100000}{\rho} \quad [W]$$

where $q_m$ is mass flow rate [kg/s], $\Delta P$ is pressure drop [bar], and $\rho$ is fluid density [kg/m3].

Step 2 — Acoustic efficiency factor ($\eta_a$):

  • For gas — subsonic flow: $\eta_a = 0.0001\,(\Delta P/P_1)^2$
  • For gas — choked flow: $\eta_a = 0.01$
  • For liquid: $\eta_a = 0.00001$

Step 3 — Acoustic power radiated:

$$W\_a = \eta\_a\,W\_{mech} \quad [W]$$

Step 4 — Acoustic power level:

$$L\_W = 10\,\log\_{10}\left(\frac{W\_a}{10^{-12}}\right) \quad [\text{dB re }10^{-12}\,W]$$

A warning is displayed when $L_W \geq 85$ dB, indicating a high acoustic power level that may require engineering review (noise insulation, silencer, or multi-stage pressure reduction).

Note: This is a simplified estimate intended for early-stage evaluation. For detailed acoustic assessment, refer to IEC 60534-8-3 (control valve noise) or project-specific acoustic studies.

Restriction Orifice — Find Flow Calculator References

1 International Organization of Standards (ISO 5167-1). 2003. Measurement of fluid flow by means of pressure differential devices inserted in circular cross-section conduits running full - Part 1: General principles and requirements.

2 International Organization of Standards (ISO 5167-2). 2003. Measurement of fluid flow by means of pressure differential devices inserted in circular cross-section conduits running full -- Part 2: Orifice plates.

3 American Society of Mechanical Engineers (ASME). 2001. Measurement of fluid flow using small bore precision orifice meters. ASME MFC-14M-2001.

4 U.S. Dept. of the Interior, Bureau of Reclamation, 2001 revised, 1997 third edition, Water Measurement Manual.

5 Michael Reader-Harris (2015) Orifice Plates and Venturi Tubes.

6 Miller, R. W., Flow Measurement Handbook, 3rd ed., McGraw-Hill, New York, 1996.

7 American Gas Association, AGA Gas Measurement Manual, American Gas Association, New York.

8 Wikipedia

9 Corrosionpedia

10 Orifice Plates and Venturi Tubes (2015) - Michael Reader-Harris

11 EMERSON Fundamentals of Orifice Meter Measurement

12 Search Data Center

Another calculators or articles that may interest you

Frequently Asked Questions

Q1 What is orifice restriction?

A1 Orifice restriction refers to the use of an orifice plate or similar device within a piping system to regulate fluid flow. The orifice creates a constriction, resulting in a drop in pressure as the fluid passes through. This drop can be utilised to control flow rates, improve measurement accuracy, or facilitate mixing processes. The size and shape of the orifice directly influence the flow characteristics, making it a critical component in systems designed for precise fluid handling. These devices are widely used in various applications, including chemical processing, water treatment, and HVAC systems.

Q2 What is the difference between a restrictor and an orifice?

A2 The main difference between a restrictor and an orifice lies in their design and intended function. A restrictor is typically designed to limit the flow of fluid through a system and can be adjustable, providing a variable restriction based on system requirements. Conversely, an orifice is a fixed opening that creates a pressure drop to regulate flow, often used for measurement or control. While both devices can restrict flow, restrictors are more versatile and often used in applications requiring fine-tuning of flow rates, whereas orifices are used for more specific pressure and flow measurements in established systems.

Q3 What is RO in P&ID?

A3 In a Piping and Instrumentation Diagram (P&ID), RO stands for Restriction Orifice. It is represented as a specific symbol indicating where the flow is restricted within the piping system. The RO is crucial in controlling flow rates, providing pressure drops, and measuring fluid dynamics in various applications. Properly designed ROs contribute to system reliability by preventing excessive pressure build-up and ensuring optimal flow characteristics.

Q4 What is the purpose of the orifice?

A4 The primary purpose of an orifice is to control the flow of fluid within a system. By providing a defined opening, orifices can regulate the passage of liquids or gases, enabling precise flow control and measurement. This functionality is essential in various applications, including water treatment, HVAC systems, and industrial processes. Orifices help maintain desired pressure levels, optimise energy consumption, and improve system efficiency.

Q5 What is a throttling orifice?

A5 A throttling orifice is a specific type of orifice used to reduce fluid flow and pressure within a piping system. It creates a pressure drop across the orifice, which allows for controlled flow rates and maintains specific operating conditions. Throttling orifices are commonly employed in applications where precise flow control is necessary, such as in hydraulic systems, chemical processes, and air conditioning.

Q6 Does an orifice reduce flow?

A6 Yes, an orifice does reduce flow. When fluid passes through an orifice, it encounters a constriction that creates a pressure drop. This drop leads to a reduction in the flow rate as the fluid is forced through the smaller opening. The degree of flow reduction is influenced by the size of the orifice and the fluid's properties. While the flow is reduced, orifices also help ensure that the system operates within safe and efficient limits.

Q7 How can we calculate a restriction orifice?

A7 Calculating a restriction orifice typically involves determining its size based on the desired flow rate, fluid properties, and system conditions. Engineers use various empirical methods based on standards such as ISO 5167 to estimate the appropriate diameter for the orifice, taking into account factors such as fluid viscosity, density, and the pressure differential across the orifice. It is also essential to consider the intended application, as different processes may require specific flow characteristics.

Q8 Is there any consideration about restriction orifices and gas flows?

A8 Yes, when dealing with restriction orifices and gas flows, several considerations must be taken into account. Gases are compressible fluids, which means their density and viscosity can change significantly with pressure and temperature variations. This characteristic affects the flow rate through the orifice and requires careful calculations to ensure accurate flow measurements. Additionally, pressure drops across the orifice can lead to choked flow conditions, where the flow rate reaches a maximum limit and cannot increase further despite changes in upstream pressure.

Q9 Which are the differences between liquid and gas regarding restriction orifice calculations?

A9 The differences between liquid and gas restriction orifice calculations primarily stem from their physical properties. Liquids are generally incompressible, allowing for simpler calculations based on flow rates, pressure drops, and orifice size. In contrast, gases are compressible, requiring more complex calculations that consider variations in density and viscosity. Additionally, gas flow can become choked when the pressure ratio reaches a critical value, necessitating a different approach to orifice sizing and pressure drop calculations.